| SI単位 | 重力単位系(従来単位系) | ||
|---|---|---|---|
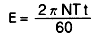
| 1 原動機の出力よりトルクを求める | ![]() |
![]() |
|
| (原動機の起動トルクは公称出力より算出されたトルクの2倍前後になります。) | |||
| 2 連結制動トルク | ![]() |
![]() |
|
| 3 上下運動切削除トルク | ![]() |
![]() |
|
| 4 摩擦を伴う水平運動 | ![]() |
![]() |
|
| 5 水平運動する物体の直線制御 | ![]() |
![]() |
|
| 6 連結制動時間 | ![]() |
![]() |
|
| 7 正逆転時間 | ![]() |
![]() |
|
| 8 水平直線制動時間 | ![]() |
![]() |
|
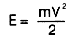
| 連結・制動仕事量 | 9 加減速 | ![]() |
![]() |
| 10 正逆転 | ![]() |
![]() |
|
| 11 連続滑り | ![]() |
![]() |
|
| 12 直線運動 | ![]() |
![]() |
|
| SI単位 | 重力単位系(従来単位系) | |||||||||||||||||||||||||||||||||||||||||||||||||||||||||||||||||||||||||||||||||||||||||||||||||||||||||
|---|---|---|---|---|---|---|---|---|---|---|---|---|---|---|---|---|---|---|---|---|---|---|---|---|---|---|---|---|---|---|---|---|---|---|---|---|---|---|---|---|---|---|---|---|---|---|---|---|---|---|---|---|---|---|---|---|---|---|---|---|---|---|---|---|---|---|---|---|---|---|---|---|---|---|---|---|---|---|---|---|---|---|---|---|---|---|---|---|---|---|---|---|---|---|---|---|---|---|---|---|---|---|---|---|---|---|
|
|