選定条件
|
![]() |
| 慣性モーメントとGD2についてはこちらをご覧下さい。 | |
| 選定に使用する各計算式についてはこちらをご覧下さい。 | |
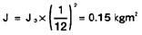
まず、中実円柱と中空円柱に分けて考える。
・質量m1 = 50.02 × π/4 × 7.85 × 10.0 × 10-3 = 154kg

・質量m2 =(50.02 -30.02)× π/4 × 40.0 × 7.85 × 10-3 = 395kg

よって全慣性モーメントJは



外径300mmのディスクとDBA-50及び外径400mmのディスクとDBA-20の2種類の組み合わせを選定し仕様を検討する。
A. 外径300mmのディスクとDBA-50を組み合わせた場合
ディスクの有効半径
※パッド外径
0.5Mpa時のトルクは
1000N×0.119 m=119 Nm > 75.9 Nm
必要制動力Fを求める

この時の必要圧力は

寿命の検討
一回の制動エネルギーを求める。

問題ないことを確認し、各ブレーキ仕様に示される値を用いてパッドの寿命の推定を行う。
安全のために250℃の欄の70%の値にて検討を行う。
DBA-50が1台で吸収できるエネルギーは
14.1 × 108J × 0.7 = 9.87 × 108J である。
よって寿命は

B. 外径400mmのディスクとDBA-20を組み合わせた場合
ディスクの有効半径

必要制動力 F

必要圧力 P

DBA-20の吸収可能なエネルギーは
E= 2.9 ×108J × 0.7 = 2.03 × 108J であるため
寿命より判断し外径300mmのディスクとDBA-50形を選定する。
※ 選定方法の詳細は資料ダウンロードでカタログをご覧ください。